|
|
Rotterdam
KLINGER The NetherlandsNikkelstraat 2 3067 GR Rotterdam
Elsloo
KLINGER Service Center LimburgBusiness Park Stein 208A 6181 MB Elsloo
Velsen-Noord
KLINGER The NetherlandsRooswijkweg 200 1951 MD Velsen-Noord
Moordrecht
Hadro TechnologySouth Lane 351 2841 MD Moordrecht |
Urgency or questions about availability?
| Type | 680F Series |
| Material | Nodular cast iron ASTM A395 Gr. 60-40-18 |
|
|
|
| Internals | RVS 304 |
| Valve and seat | STAINLESS STEEL 17-4PH H900 |
| Filter | RVS 304 |
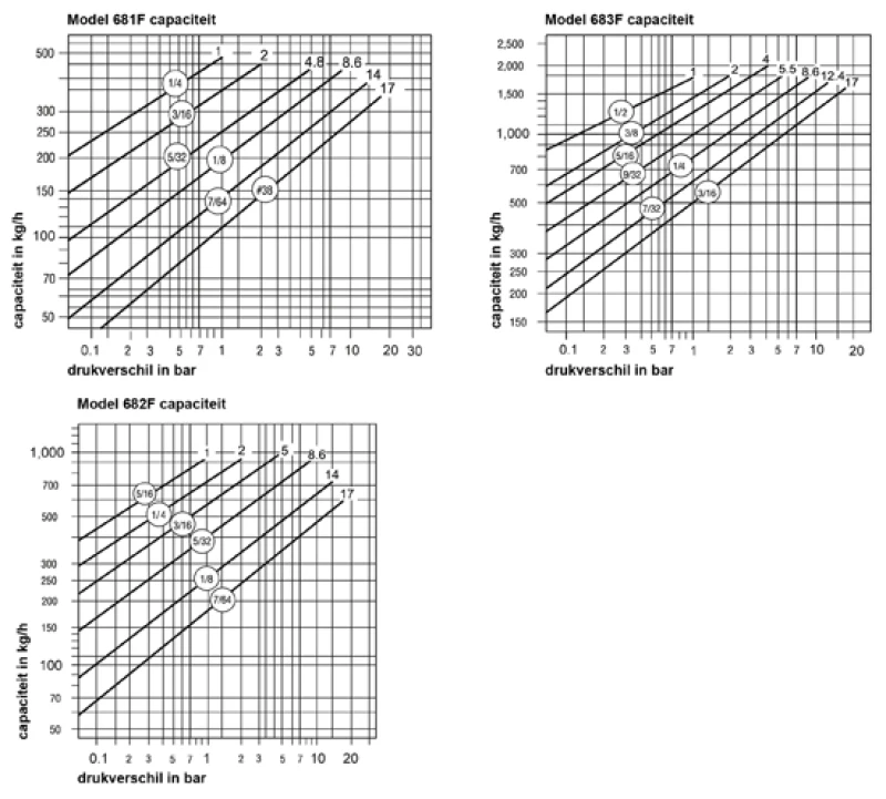
| Design pressure max. | 17 bar |
| Backpressure | 99% of the inlet pressure |
| Steam pressure | max 17 bar @ 232 ºC |
| Connections | Flange connections PN25 EN1092-2 |
|
|
|
| Also available | different valve passage |
| internal check valve | |
| with thermalstatic vent bucket | |
For more information on our inverted bucket steam traps, please contact us at:
Fill out the form below to log in