|
|
Rotterdam
KLINGER The NetherlandsNikkelstraat 2 3067 GR Rotterdam
Elsloo
KLINGER Service Center LimburgBusiness Park Stein 208A 6181 MB Elsloo
Velsen-Noord
KLINGER The NetherlandsRooswijkweg 200 1951 MD Velsen-Noord
Moordrecht
Hadro TechnologySouth Lane 351 2841 MD Moordrecht |
Urgency or questions about availability?
| Type | GP-2000 |
| Material | Nodular cast iron ASTM A536 |
| Valve + Seat | AISI 420 STAINLESS STEEL |
| Filter | AISI 304 STAINLESS STEEL |
| Diaphragm | AISI 301 STAINLESS STEEL |
| Spring | AISI 304 STAINLESS STEEL |
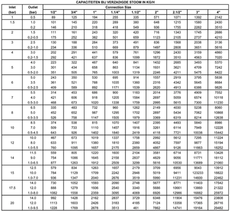
| Spring green pressure range 1-14 bar reduced pressure | |
| Spring yellow_ pressure range 0.1-0.2 bar reduced pressure | |
| Spring yellow_ pressure range 0.2-1.5 bar reduced pressure | |
| Min. pressure differential | 0.5 bar |
| Max pressure reduction | 85% of the inlet pressure |
| Max pressure ratio | 201 |
| Leakage | <0,01% |
| Control accuracy | approx. 2% |
| Working pressure max. | 20 bar |
| Connections | BSPT thread or PN 40 flange connection EN1092-1 |
| Temperature | Maximum 230ºC |
For more information about our pressure reducing devices, temperature regulators, and safety valves, please contact us at:
Fill out the form below to log in